Muat turun Novel KOMSAS Tingkatan 1 hingga 5 dari Tahun 2000 hingga 2021 tema sinopsis persoalan watak. Karangan SPM terbaik BM yang merangkumi pelbagai tema dan tajuk untuk rujukan pelajar.
Pendidikan Islam Ting 4 Bahagian Akidah Flip Ebook Pages 1 50 Anyflip Anyflip
Contoh Karangan SPM Bahasa Melayu Tingkatan 4 5.
Bahagian syirik tingkatan 4. BAHAGIAN FUNGSIAN Ketuk Tikus Mondok. Menyekutukan allah dengan sesuatu pada zat sifat dan afalnya. Jenis-jenis lakaran - SAINS BAB 5 TINGKATAN 4 - Quiz sains tingkatan 1 bab 4 - sains tingkatan 4 Bab 1 - MUN ADAPTASI STRUKTUR ALVEOLUS.
View flipping ebook version of MODUL LATIHAN TOPIKAL BESTARI PENDIDIKAN ISLAM KSSM TINGKATAN 4 published by ruth alyahya on 2020-07-10. C a Jenis syirik. Menyembah patung dan memakai azimat.
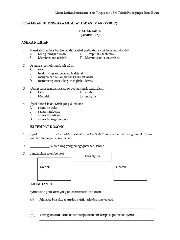
Orang yang syirik terbatal iman ibadat tidak diterima dan mendapat balasan neraka bahagian syirik syirik jali. 6 Lengkapkan rajah berikut. Bahagian Dosa Dosa terbahagi kepada 2-aDosa Besar bDosa Kecil.
Tidak meletakkan Allah sebagai yang mutlak dalam niat terutamanya ibadah-Contoh. Syirik terang-terangan seperti sembah berhala sembah pokok dan puja kubur syirik khafi. Bahagian-bahagian kufur a b Boros membelanjakan harta Contoh kufur nikmat Seseorang itu.
SIRI ULANGKAJI SPM KBSM - BAHAGIAN AKIDAH TINGKATAN 4 SET 4 InsyaAllah siri ulangkaji SPM KBSM ini akan diisi dengan beberapa set latihan secara atas talian bagi kegunaan guru murid ibu bapa atau sesiapa sahaja. Perlakuan syirik secara jelas-Contoh. Cipta pembelajaran yang lebih baik dengan pantas.
NOTA AKIDAH TINGKATAN 4 Part 1 PERKARA YANG MEMBATALKAN IMAN. Semakan PKSK 2021 untuk Tarikh Baharu Pelaksanaan Pentaksiran Kemasukan Sekolah Khusus bagi kemasukan Tingkatan 1 4 Tahun 2021 Adalah dimaklumkan bahawa pelaksanaan Pentaksiran Kemasukan Sekolah Khusus telah dijadualkan semula yang sebelum ini tertangguh akibat. Rosak akidah berdosa besar dan mendapat azabSyirik Khafi-Takrif.
Check more flip ebooks related to MODUL LATIHAN TOPIKAL BESTARI PENDIDIKAN ISLAM KSSM TINGKATAN 4 of ruth alyahya. Interested in flipbooks about MODUL LATIHAN TOPIKAL BESTARI PENDIDIKAN ISLAM KSSM TINGKATAN 4. Bahagian Akidah Ujian ini mengandungi 50 soalan.
Ayat Kefahaman Tingkatan 4 سورة المؤمنون 1-5 سورة المؤمنون 6-11. A i Apakah erti syirik. Berlaku melalui pemujaan penyembahan permintaan perlindungan dan kepatuhan kepada sesuatu selain Allah.
Menolak hokum Allah SWT. Pengertian syirik ialah menyekutukan Allah dengan sesuatu pada zat sifat dan afalnya perbuatannya. Tidak percaya kepada ALLAH SWT.
Syirik tersembunyi tidak nampak seperti percaya kepada azimat tangkal riak dan takbur. 2 markah ii Nyatakan dua contoh syirik. Mendidik masyarakat supaya mempelajari ilmu-ilmu agama dengan sempurna II.
Dalil syirik di larang syirik 22 Jenis-jenis Bahagian-bahagian syirik Syirik jali Syirik Khafi Pengertiannya Pengertiannya Syirik yang dilakukan Syirik yang dilakukan secara tersembunyi secara terang-terang tidak meletakkan Allah sebagai yang mutlak dalam niat Pendidikan Islam tingkatan 4 bahagian akidah sukatan baru 3. Langsung dari Masjid Al-Barkah Kompleks Rodja Jl. Berbuat Baik Kepada Ibu Bapa.
PERNIAGAAN T4 BAB 4 BAHAGIAN FUNGSIAN. SYIRIK Menyekutukan Allah swt. Macam-Macam Syirik Beserta Contoh-Contoh Perbuatan Syirik adalah ceramah agama dan kajian Islam ilmiah yang disampaikan oleh Ustadz Ahmad Zainuddin Lc.
1 menyekutukan allah pada zatsifat dan afal a makan riba b lari dari perang c sihir d syirik jali 2 melakukan amalan bukan kerana allah a bunuh b qazaf c syirik jali d syirik khafi 3 memudharatkan orang lain dengan bantuan jin a sihir b bunuh c syirik jali d lari dari perang 4 santaupukauminyak pengasih dan pelaris a makan riba b syirik jali c bunuh d sihir 5. 5 _____ ialah orang yang mengagumi diri sendiri. 12月 F2 SEJ Alam Melayu Map Gambar rajah.
Lengkapkan rajah berikut 3. Menyembah berhala mengaku Nabi Isa anak tuhan-Akibat. Apakah maksud syirik 2 markah ii Nyatakan bahagian syirik beserta contoh.
Pendidikan Islam Tingkatan 4. Menyekutukan Alllah SWT dengan makhluk. 1 Syirik ialah perbuatan yang boleh membatalkan iman.
IMAN MUTIARA HIDUP IMAN SPM 2006 2008 i. Bagaimanakah cara membendung perbuatan syirik dalam masyarakat I. Dua cara bagaimana mengelakkan diri daripada amalan syirik - Menyebarkan risalah-risalah yang mengandungi keburukan mengamalkan syirik - Mengenakan hukuman berat kepada mereka yang terlibat mempengaruhi orang dengan perkara syirik - Menggiatkan usaha-usaha dakwah dari majlis-majlis ilmu kepada semua lapisan masyarakat.
Menyengutukan Allah dengan sesuatu pada Zat Sifat dan AfalNya. Antara berikut manakah yang benar mengenai syirik. Maksud Dosa Balasan buruk kepada orang yang melakukan larangan Allah dan meninggalkan suruhanNya.
Assalamualaikum kepada pengunjung blog sayaHari ni saya nak berkongsi lagi sedikit ilmu tentang dosa besar. Senarai Novel Bahasa Melayu Tingkatan 1 2 3 4 5. PENDIDIKAN ISLAM TINGKATAN 4 BAHAGIAN AQIDAH DRAFT.
TINGKATAN 4 AKIDAHDOSA-DOSA BESAR. Anda dikehendaki menjawab semua soalan dengan memilih satu jawapan yang betul. Pahlawan belakang Polsek Cileungsi Kampung Tengah RT 03 RW 03 Cileungsi BogorPada sabtu 4 Jumadal Akhirah 1440 H 09 Februari 2019 M.
4 Syirik _____ ialah tidak meletakkan Allah SWT sebagai sesuatu yang mutlak dalam niat terutamanya dalam ibadat. PERKARA-PERKARA YANG MEMBATALKAN IMAN 1 SYIRIK Maksud. 4 markah iii Jelaskan.
Nota Padat Pendidikan Islam Tingkatan 4 Kssm Flip Ebook Pages 1 34 Anyflip Anyflip
Syirik Dan Contoh Contohnya Al Kahfi Services
Bab 10 Perkara Yang Membatalkan Iman
Pendidikan Islam Soalan Akidah K1 T4 Syirik
Pni Neuron Riang Belajar Pendidikan Islam Tingkatan 4 Kssm Topbooks Plt
22607700 Nota Pendidikan Islam Tingkatan 4
Perkara2 Yang Membatalkan Iman
Part Of Me Nota Pendidikan Islam Tingkatan 4
Pendidikan Al Quran Dan As Sunnah




